A
Anonymous
Guest
I do not think you graph is accurate. Things that get taken out by skimming are added throughout the day. Fish do not poop once a day at a set time. I do see where you are going.

Wazzel":1wgwyqjl said:I do not think you graph is accurate. Things that get taken out by skimming are added throughout the day. Fish do not poop once a day at a set time. I do see where you are going.
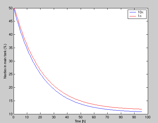
wade":3c03jzv8 said:I also don't think the 1% number is accurate at all. And most skimmers move alot more volume.
Mine for example moves 1000gph thru the skimmer.
wade":25zkj4sf said:Ok, so lets tighten down what you mean by 1%.
You are predicting 1% of the nasties in the entire system are removed/hr or that 1% of the nasties in the total volume of water moving thru the skimmer is removed?
I would have to argue that with your "average" dissolved organic carbon, you would get much more than 1% of them out of the water column with a good skimmer.
